반응형
이 포스팅은 공부 흔적을 남기기위한 목적으로 포스팅을 통해 공부하려는 분에게는 다소 불친절한 내용일 수 있습니다.
전제조건
x -> a 에 대하여 f(x)와 g(x)의 극한이 존재한다.
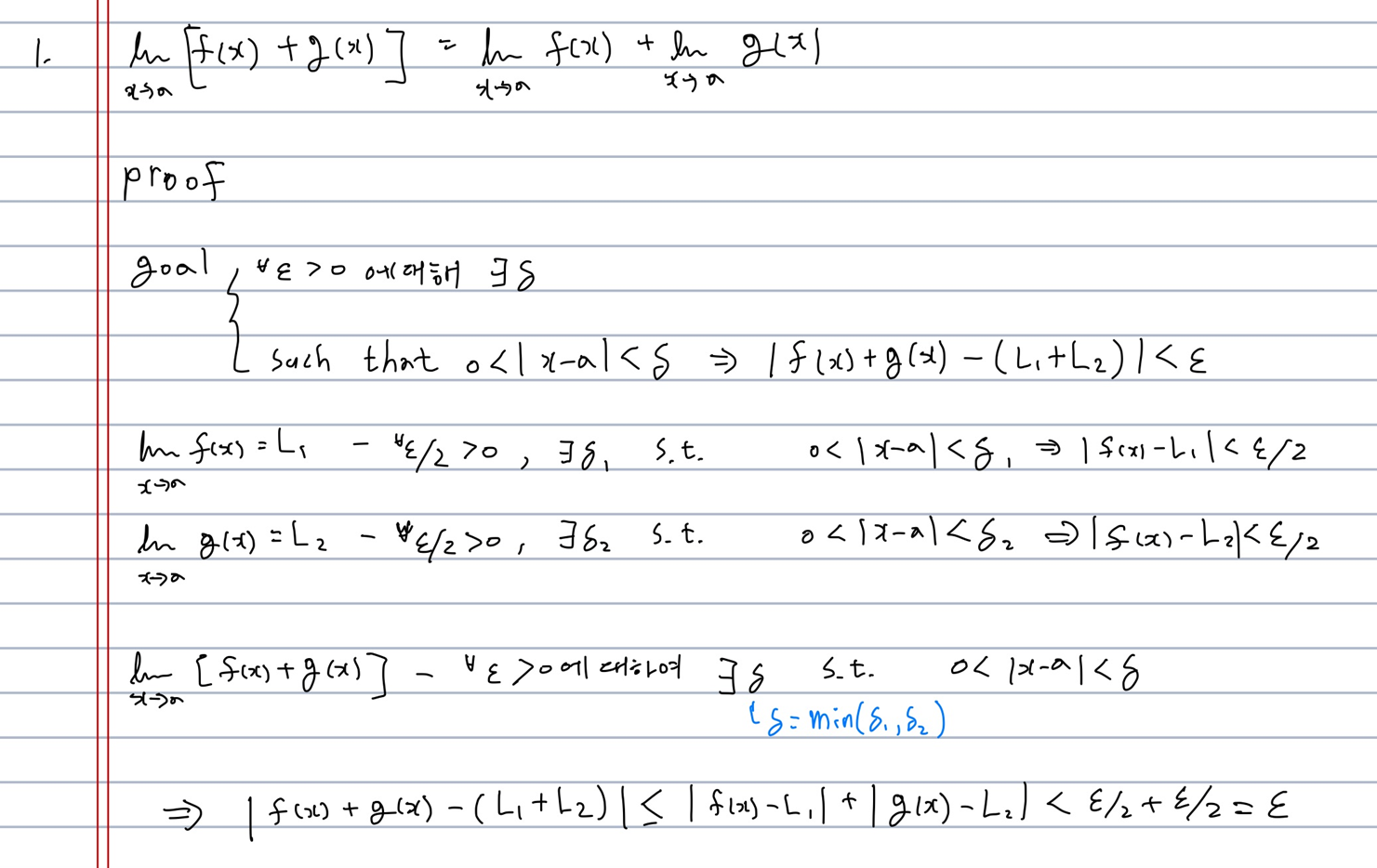
1. 합의 법칙

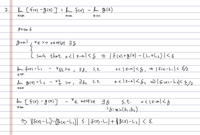
2. 차의 법칙

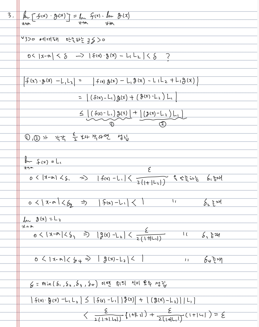
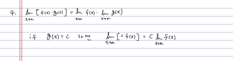
3.곱의 법칙

4. 상수배 법칙

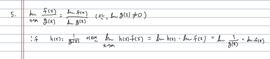
5. 몫의 법칙

반응형
'데이터 분석을 위한 수학 > 대학미적분학' 카테고리의 다른 글
| 2. Applications of Differentiation - 1 (0) | 2023.02.07 |
|---|---|
| 1. Derivatives - 미분 (0) | 2023.01.29 |
| 1. 극한의 정의 - 직관적 정의, 엄밀한 정의 (0) | 2022.07.23 |
